La Tasa Interna de Retorno (TIR) es un indicador idóneo para evaluar la rentabilidad de tus proyectos. ¡Lee más aquí!

¿Quieres saber cuál es el rendimiento esperado de una inversión? ¿Deseas saber cuáles proyectos de inversión son más rentables para tu empresa? ¿Te gustaría saber cómo priorizar, optimizar tus inversiones y tomar decisiones? En este caso, es vital que conozcas cómo calcular la tasa interna de retorno (TIR).
¿Qué es la tasa interna de retorno? La TIR es el porcentaje que muestra qué tan rentable es una inversión. Dicho de otro modo, es el retorno esperado de una inversión si los ingresos futuros se cumplen como se proyectaron.
En este artículo, te contamos todo sobre la TIR. Además, te damos ejemplos e información útil sobre cómo este indicador te puede ayudar en la evaluación de tus inversiones.
Si deseas profundizar más en la TIR y sus implicaciones, puedes optar por la Maestría en Finanzas empresariales y la Maestría en Auditoría y Control Interno de la UNIR.
Qué es la tasa interna de retorno
La TIR es un indicador financiero que mide la rentabilidad potencial de una inversión. En esencia, este te indica cuánto dinero habrás de ganar o perder con una inversión en clave de porcentaje. Para calcular la TIR, necesitas saber las cantidades de dinero que obtendrás de la inversión. Si la TIR es mayor a cero, ganarás; de lo contrario, perderás.
La TIR es una métrica especial porque mide la rentabilidad esperada a lo largo de su vida útil. Es decir, no solo considera los ingresos generados, sino también el tiempo en que estos flujos de caja se producen. De esta forma, tienes una perspectiva completa que incluye la magnitud y el momento en el que se producen los ingresos de una inversión.
Cómo calcular la tasa interna de retorno
Existen dos formas de medir la tasa interna de retorno: manual y por medio de herramientas tecnológicas. Si deseas hacer un cálculo manual, debes ajustar la tasa de descuento hasta el que el valor actual neto (VAN) del proyecto sea igual a cero. Este proceso implica probar diferentes tasas de interés, recalculando el van en cada intento.
¿Qué ventajas te ofrece este método? Primero, te permite entender intuitivamente cómo las tasas afectan la rentabilidad del proyecto. Segundo, es útil para proyectos con flujos de caja simples o con pocos periodos de inversión.
A pesar de las ventajas, debes saber que este método puede ser lento y poco preciso, especialmente cuando hay proyectos con flujos de caja complejos o varios periodos de tiempo. Además, ajustar la tasa varias veces puede llevar a errores.
De ahí que sea razonable usar software para calcular la TIR. Esto se debe a que la tecnología te proporciona una manera más rápida y precisa de cálculo, desprovista de errores humanos.
Puedes utilizar Excel para calcular la TIR, usando la función =TIR(). Aparte, puedes usar calculadoras financieras y programas especializados. Estos se encuentran diseñados para hacer cálculos automáticos de la TIR.
¿Cuáles son los beneficios? Te contamos todo:
- Rapidez
- Precisión
- Facilidad de uso

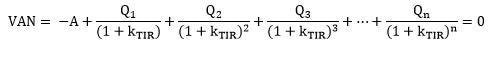
Formula de la TIR
La fórmula de la tasa interna de retorno se calcula usando una fórmula que vincula los flujos de caja generados por una inversión con la inversión inicial. Esta fórmula explicita la tasa de interés que equilibra el valor presente de los flujos de caja futuros con la inversión inicial. Como resultado, el VAN será igual a cero.
La fórmula es la siguiente:

Y se desglosa del siguiente modo:
VAN: es el valor presente en los flujos de caja futuros descontados a una tasa kTIR, que es la tasa interna de retorno.
-A: Es el valor de la inversión inicial y suele ser negativo por representar un desembolso de dinero.
Q1,Q2,Q3,…,Qn: Son los flujos de cada futuros obtenidos por periodos 1,2 y 3 hasta n.
1+kTIR: es la representación de la tasa interna de retorno.
¿Cómo interpretar la fórmula? Si la TIR es mayor que la tasa mínima requerida, esto quiere decir que tu proyecto es rentable. Pero, si la TIR es menor, esto quiere decir que tu proyecto no es rentable y que debes abstenerte.
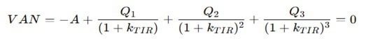
Ejemplo de cálculo de la Tasa Interna de Retorno
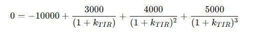
Supongamos que tienes un proyecto que requiere una inversión inicial (A) de $10000 y que genera los siguientes flujos de caja anuales (Q1, Q2, Q3).
Año 1 (Q1): $3,000
Año 2 (Q2): 4,000
Año 3 (Q3): 5,000
El objetivo es encontrar la TIR usando la siguiente fórmula:

Sustituyendo los valores:

Para calcular la TIR, necesitarás hacer ajustes en kTIR hasta que el VAN sea igual a cero. Este es un proceso de ensayo y error, si es calculado manualmente. Sin embargo, ten en cuenta que puedes hacerlo fácilmente usando la función de Excel ya mencionada.
El primer paso es probar con k_{TIR} = 10% (0.10).

El VAN es negativo (-210.23), lo que significa que la tasa del 10% es ligeramente baja. La TIR está por encima de este valor.
El segundo paso es probar con k_{TIR} = 11% (0.11). Con esto probamos con una tasa de 11%.

El VAN es negativo, indicando que la tasa del 11% también es baja. Ahora probemos un valor intermedio.
El tercer paso es probar con k_{TIR} = 10.5% (0.105).

Este valor también es negativo, lo que indica que la TIR es ligeramente superior a este valor.
¿Qué quiere decir esto? Que la TIR calculada se encuentra alrededor del 10.5%. Si la tasa mínima requerida de retorno es inferior a 10.5%, el proyecto es en definitiva viable.




